Playlist Toolbox

65.2.1.9 Format Control

As mentioned in the previous chapters, Etere ETX Toolbox Player allows the selection of multiple Video and Audio format to manage either as INPUT aswell as OUTPUT, depending on its use case.
5410_etere_toolbox_format_ctrl

WARNING: When previewing video output, if the value of “Audio” format is set to <Auto/Not Specified>, the output preview format would passthrough the video source format, and no up-conversion or down-conversion would be performed.

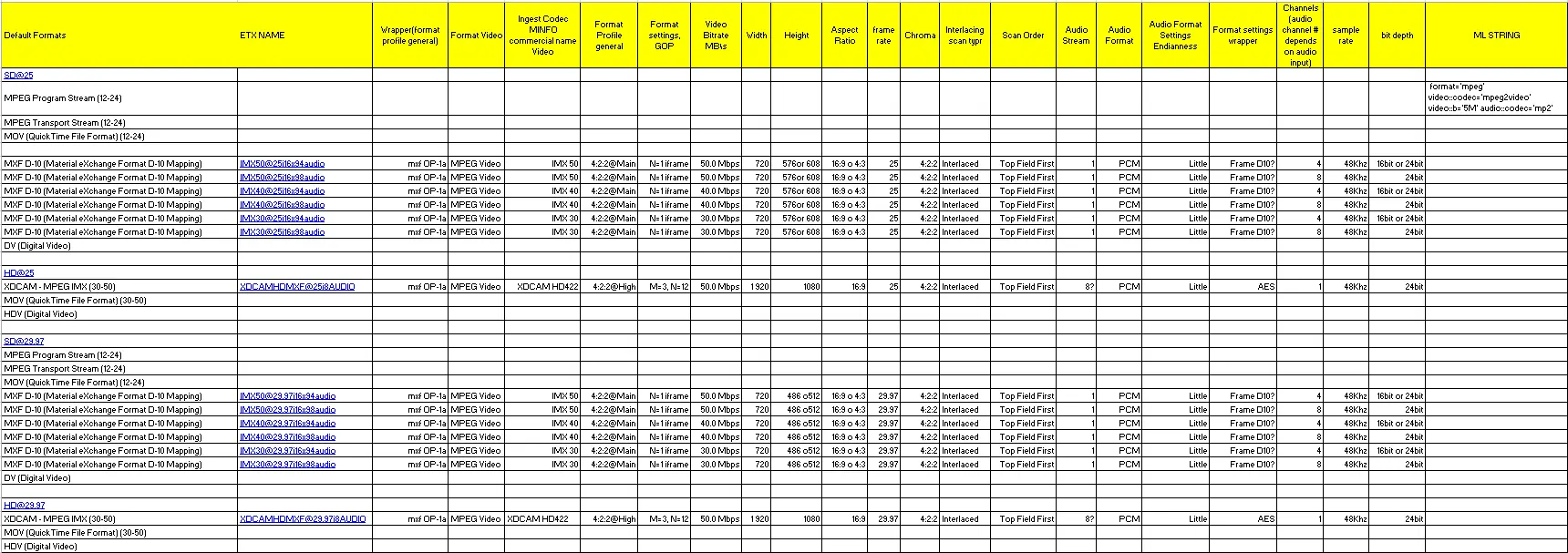
For playout, a list of default formats are listed below for reference.
Default formats


Default_formats
5410_etere_toolbox_format_ctrl